Aggiornamento di Bellman
L'aggiornamento di Bellman contrae il vettore delle utilità stimate U degli stati, a partire da un valore iniziale di default, avvicinandolo al valore reale delle utilità.
A cosa serve? E' utilizzato nell'algoritmo di iterazione di valori per consentire all'agente razionale di prendere decisioni complesse e risolvere problemi di cui non possiede tutte le informazioni.
Dopo ogni iterazione x dell'algoritmo, il vettore delle utilità Ux è sempre più vicino al vettore reale delle utilità U degli stati.
Come funziona l'aggiornamento di Bellman
Dal punto di vista matematico l'aggiornamento di Bellman può essere visto come una funzione matematica B.
Ux+1=B(Ux)
L'argomento in input della funzione è il vettore delle utilità Ux al ciclo x.
Il risultato in output è il vettore delle utilità Ux+1 dell'iterazione successiva x+1. E così via.
L'aggiornamento di Bellman propaga l'informazione in avanti e comincia un un nuovo ciclo.
Quando termina?
Il processo continua fin quando il vettore Ux eguaglia il vettore delle utilità reali U.
Quali sono i punti di forza dell'algoritmo?
Una prima considerazione importante da fare è che l'aggiornamento di Bellman converge sempre al vettore delle utilità reale degli stati.
Inoltre, è sicuramente un modo più efficiente per trovare la soluzione del problema rispetto all'esplorazione completa di tutte le combinazioni possibili degli stati.

Quello che non sappiamo è quanti cicli ( N ) sono necessari per attuare la convergenza. Il che può diventare un problema.
Quali sono i punti di debolezza?
Se il calcolo è troppo lungo, la soluzione potrebbe arrivare troppo tardi, quando non serve più ( inefficacia ), o il costo di elaborazione diventare eccessivamente alto ( inefficienza ).
E' quindi necessario stimare il numero delle iterazioni N per risolvere il problema.
Poi fare un'analisi costi benefici prima di eseguire il programma.
Come calcolare i cicli dell'algoritmo
Allo stato iniziale (t=0) gli stati hanno tutti lo stesso valore di default ( es. zero ).
Il vettore degli stati iniziale si presenta in questo modo:
U0(0,0,0,0,....,0)
L'agente non conosce ancora il vettore delle utilità reali (Ur).
Tuttavia, se lo conoscesse potrebbe calcolare l'errore ε della stima calcolando la differenza U0-UR.
ε=U0-UR
Il risultato va trasformato in un valore assoluto, sotto modulo, perché non è detto che la differenza U0-UR sia positiva (U0-UR>0) può anche essere negativa (U0-UR<0).
In questo caso, per calcolare l'errore della stima quello che ci interessa è calcolare la differenza tra i due vettori.
ε=|U0-UR|
Va poi considerato anche il fattore di sconto γ dell'algoritmo di iterazione dei valori.
ε=γ|E0-UR|
Il fattore di sconto γ<1 permette di attribuire maggiore importanza alle prime decisioni rispetto alle azioni successive.
Se invece γ=1 le azioni hanno tutte la stessa importanza, la posizione nella sequenza decisionale non influisce sul calcolo delle utilità.
In quest'ultimo caso (γ=1) l'agente ha una visione temporale più ampia, trova soluzioni più efficaci ma l'algoritmo consuma molte più risorse.
Ora, sappiamo che l'algoritmo di Bellman è convergente.
Quindi l'errore ε dovrebbe ridursi dopo ogni ciclo.
ε1 ≤ ε0
La precedente disequazione può essere riscritta nel seguente modo:
|BU0-UR| ≤ γ|U0-UR|
Generalizzando la disequazione per i ciclo qualsiasi (i).
|BUi-UR| ≤ γ|Ui-UR|
A questo punto possiamo fare un'altra considerazione. In entrambi i membri della disequazione abbiamo Ui-UR. Quindi, possiamo eliminarli. Ciò che resta è la seguente:
B ≤ γ
La disequazione vuol dire che ogni iterazione dell'algoritmo di Bellman riduce l'errore ε della stima Ui-UR di almeno γ.
ε ≤ γ
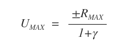
Sappiamo che le utilità degli stati sono limitate dal sequente valore massimo.

Nota. La variabile Rmax indica la massima ricompensa ottenibile dall'agente nella mappa degli stati.
Quindi, l'errore massimo iniziale è il seguente:

Sappiamo anche che l'errore ε si riduce almeno di γ dopo ogni iterazione.
γ1ε1 ≤ ε0
Generalizzando per ogni iterazione N dell'algoritmo possiamo riscrivere la disequazione nel seguente modo:
γNε ≤ ε
Ora sostituiamo ε al primo membro con la formula del massimo errore possibile.

Abbiamo così ottenuto la stima dell'errore di ogni iterazione.
Per calcolare il numero delle iterazioni necessarie per raggiungere un errore ε è sufficiente mettere in evidenza N al membro di sinistra.

Come si può facilmente intuire, l'algoritmo riduce in modo esponenziale l'errore ε.

Tuttavia, il numero delle iterazioni N cresce in modo esponenziale quando γ si avvicina a 1.

C'è quindi un problema serio da risolvere.
Se γ≅1 il numero dei cicli dell'algoritmo tende a infinito.
Per risolvere questo problema bisogna fissare una condizione di uscita forzata dall'esecuzione.
Esempio. Se i valori delle utilità ( Ut+1 - Ut ) variano poco dopo il t-esimo aggiornamento di Bellman, si deduce che l'utilità degli stati è ormai vicina alla massima utilità ottenibile ( ottimale ). Quindi si può scegliere ed eseguire la politica t-esima perché è già ottimale.
