Il modello di Marvin Minsky
Secondo Marvin Minsky il cervello umano è un sistema complesso composto da parti indipendenti ( sottosistemi o risorse ) con relazioni in continua mutazione.
I sottosistemi sono collegati tra loro, quindi lo stato di una risorsa della mente influenza anche lo stato delle altre e così via. A parità di condizioni ( input, ambiente, ecc. ) il risultato finale non è mai determinabile con certezza.
Ogni risorsa può essere considerata come un sottoprogramma ( subroutine ).
Le tipologie di risorse
Il modello di Marvin Minsky è un modello probabilistico basato sul concetto di rete neurale, nodi ( risorse ) e collegamenti.
Nasce per comprendere la mente umana ma si presta anche per la costruzione dell'intelligenza artificiale.

Nel modello la mente umana è composta da due categorie di risorse:
- Le risorse primarie ( o istintive ) sono scritte nel Dna. Sono già presenti e attive fin dal momento della nascita ( fame, sete, paura, ecc. ). Queste risorse sono comuni a tutti gli esseri umani. In una macchina sono gli algoritmi istintivi.
- Le risorse intellettuali ( o superiori ) si aggiungono nel corso della vita in base all'esperienza dell'individuo. Queste risorse distinguono l'uomo dagli altri.
Alcune risorse sono sempre attive ( es. respirazione, battito cardiaco, ) mentre altre risorse possono essere disattivate ( es. attenzione, riposo, rabbia, ecc. ) se vanno in conflitto con il funzionamento delle altre oppure per risparmiare energia.

Pertanto, il corpo umano ( sistema ) utilizza soltanto un sottoinsieme di risorse alla volta. Mai tutte insieme.
Lo stesso accade in una macchina intelligente.
Le situazioni conflittuali. Può capitare che una stessa risorsa riceva contemporaneamente degli stimoli contrapposti. Ad esempio, uno stimolo accende la risorsa mentre un altro stimolo la spegne. In questi casi si verifica una situazione conflittuale con emozioni e sentimenti misti.
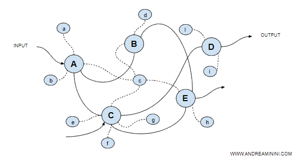
La struttura a rete gerarchica delle risorse
Secondo Minsky le risorse mentali compongono una rete ( net ) ma sono anche organizzate in modo gerarchico.
Le risorse di livello superiore sono collegate alle risorse di livello inferiore ( sottorisorse ) a cui delegano alcune funzioni specifiche.
Alcune sottorisorse sono dedicate ( a, b, d, e, f, g, h, i, l ) mentre altre sono comuni ( c ) e possono essere utilizzate da più risorse di alto livello.

Pertanto, il flusso dei processi ( pensiero ) è vincolato all'uso sequenziale delle sottorisorse comuni.
Su tutto il resto però opera simultaneamente. Questo permette alla mente di lavorare contemporaneamente su più ipotesi.
Nota. Quando riflettiamo su qualcosa abbiamo l'impressione che il pensiero sia un flusso sequenziale. Ci sembra di pensare a una cosa per volta. Questo accade a causa delle risorse comuni. In realtà, gran parte delle altre risorse operano simultaneamente. Per questa ragione, a un medesimo problema possiamo trovare contemporaneamente due o più soluzioni.
Un esempio pratico
Un problema ( macro ) viene suddiviso in sottoproblemi più piccoli.
Ogni sottoproblema ( micro ) viene affidato alle sottorisorse specifiche che si occupano di risolvere quel problema in più opzioni, lavorando simultaneamente.
Le risorse di livello superiore scelgono un'opzione, tra le alternative presentate dalle sottorisorse di livello inferiore.
Le soluzioni parziali vengono ricomposte, fino a trovare la combinazione ideale che permette di giungere alla soluzione del problema complessivo.
L'esperienza e le relazioni tra le risorse
Ogni mente umana è unica e segue delle regole differenti.
Questo accade perché i collegamenti tra le risorse non sono fissi, la relazione tra le risorse mentali è influenzata dalla vita passata e dai ricordi della persona.
Inoltre, le intereconnessioni tra le risorse sono mobili e variano quotidianamente in modo caotico.

Per questo motivo non è possibile trovare una legge semplice, generale e universale per spiegare i fenomeni psicologici.
Ciò che spiega il comportamento di un individuo, non spiega il comportamento di un'altra persona.
E' necessario costruire un modello probabilistico complesso e non lineare.
Nota. Marvin Minsky segue il paradigma scientifico della complessità. Alcuni fenomeni non possono essere semplificati con una legge generale e universale, perché hanno una natura complessa o caotica. Ad esempio, non c'è un'onda uguale a un'altra e nessun modello previsionale potrà mai prevedere esattamente lo spostamento di ogni singola goccia d'acqua nell'onda. Possiamo soltanto stimare le probabilità del comportamento dell'onda in generale. Lo stesso accade quando cerchiamo di calcolare l'orbita degli elettroni intorno al nucleo atomico.

